
참 오랜만에 글을 쓴다.... 분발하자
1. CEX란?
- Centralized Exchange로 "중앙화거래소"를 의미한다
- 우리가 많이 사용하는 업비트, 빗썸, 코인원과 같은 거래소
CEX의 장점
- 암호화폐에 대해 잘 몰라도 쉽게 접근할 수있는 낮은 진입장벽
- 거래 처리속도가 빠르다
- 개인키를 거래소가 알아서 관리해준다
- 거래량이 많다
CEX의 단점
- 중앙 서버가 공격 당아혐 우리의 자산이 위험하다
- 가두리 펌핑
CEX(중앙화 거래소)에서 코인을 사면 어떤 일이 벌어질까? 실제로 트랜잭션이 발생할까?
코인을 나의 소유로 만든다는 것은 블록체인 네트워크 상에서 나의 거래 트랜잭션이 기록되고 이것이 기록된 블록이 생성됨을 의미한다.
나는 그간 아무생각없이 업비트에서 코인을 사고 팔아만 왔다. 그럼 코인을 사고 팔때마다 네트워크상에 나의 거래 기록이 기록될까?
결과는 "아니다"
조금이라도 생각해보면 당연한 결과지만 그간 아무 생각없이 침팬치마냥 매수/매도 버튼만 눌러왔기에 신선한 충격을 받았다.
코인별로 블록이 생성되는 시간도 다 다르고 소모되는 비용도 천차만별이기에 업비트에서 일어나는 모든 거래를 트랜잭션으로 기록하는 것은 너무 낭비이며 비효율이다.

하지만 이런 중앙화 거래소에서도 실제 트랜잭션이 일어나는 순간은 있다.
바로 외부 지갑으로(에서) 이동할 때 실제 트랜잭션이 발생한다.
중앙거래소에서의 코인 거래는 "원화 포인트와 가상자산 포인트간의 매매 or 교환 행위"로 이해하는 것이 일반적이라고 한다.
업비트에서 비트코인을 사고 외부 거래소 지갑(이를테면 바이낸스)로 옮기는 작업을 예시로 들어보겠다
1. 우리가 업비트에 8천만원을 입금한다. 8천만원은 업비트의 운영 법인으로 이전되고 우리는 업비트에 8천만원어치의 반환채권을 가지게 된 셈이다. 간단하게 8천만 포인트라고 해도 될 것 같다. 우리는 업비트에서 이 8천만 포인트로 비트코인 10개를 구입한다.

2. 우리가 8천만 포인트로 10비트코인을 구입했다는 기록은 업비트의 중앙서버에 기록된다.
우측의 거래소 BTC지갑은 업비트가 가지고있는 실제 비트코인이 있는 지갑이다. 이 지갑의 비트코인 수량에는 아무런 변화가 없음에 주목하라.

3. 우리는 이제 이 10비트코인을 나의 바이낸스 지갑으로 옮기고 싶어한다. 그러면 업비트의 비트코인 공용 지갑에서 업비트 개인 비트코인 지갑으로 전송이 일어나며 이 이동은 트랜잭션으로 기록된다.(트랜잭션 1회)

4. 이어서 업비트 개인 비트코인 지갑에서 외부 주소로 이동이 발생하고 이 또한 트랜잭션이 발생한다.(트랜잭션 2회)
그림은 하드웨어 개인 BTC 지갑이라고 나와있지만 아무튼 거래소 외부로의 이동임이 핵심이다.

이렇게 그림으로 살펴봤을때는 실제 트랜잭션이 총 2번 발생했다.
정말 그럴까?
마침 바이낸스 -> 업비트로 트론을 전송할 일이 있었기에 트론스캔을 통해 트랜잭션을 확인해 보았다.
1. 먼저 나의 업비트 트론지갑 주소는 다음과 같다. TTU~~~이다

2. 트론스캔을 통해 확인해보면 TAz -> TTU로 트랜잭션이 발생했음을 확인할 수 있다.
TTU는 나의 업비트 트론 지갑 주소이면 TAz는 대충 바이낸스쪽 나의 트론 지갑 주소임을 알 수 있다.
또 TTU -> TRQ로의 이동도 확인할 수 있는데 대충 나의 트론 개인지갑 -> 업비트 트론 공통지갑으로의 이동임을 추측해볼 수 있다.

바이낸스 -> 업비트 개인지갑으로 이동이 일어나고 2시간 뒤에 업비트 개인지갑 -> 업비트 공용지갑으로 트랜잭션이 일어남을 확인할 수 있다. 업비트측에서 유저 개인지갑 -> 공용지갑으로의 이동은 외부지갑에서의 이동과 상관 없이 발생하는가보다(뇌피셜)

2. DEX
- Decentralized Exchange, 즉 탈중앙화 거래소다
- 업비트, 빗썸처럼 중개자가 없다
- 모든것은 스마트 컨트랙을 통해 P2P로 진행된다
- 중앙 거래소의 기능을 스마트 컨트랙으로 대체한 것
- 모든 거래가 자동화 되어있고 모든 거래는 블록체인 상에서 진행된다
- 유니스왑, 스시스왑, 팬케이크 스왑 등이 있다
DEX 장점
- 보안적으로 CEX보다 낫다.
- 개인정보가 요구되지 않는다
- 중앙거래소에 상장되지 않은 다양한 비상장 코인들이 있다
DEX 단점
- 유동성이 필요하다
- 실시간 거래 반영이 늦다
- 고객센터가 없다 -> 모든 일을 내가 책임져야 한다
- 중앙거래소보다 진입장벽이 높다
CEX, DEX 한 줄 비교
- 집을 팔 때
- CEX는 집을 공인중개사에게 완전히 넘기고 공인중개사가 파는 것
- DEX는 공인중개사가 집을 살 사람만 찾아주고 내가 파는 것



AMM
- DEX는 CEX처럼 오더북 기반으로 거래가 체결되지 않는다
- AMM 프로그램 사용
AMM이란, 매수자와 매도자간의 거래를 이어주는 것을 탈중앙화 + 자동화 한 프로그램
AMM은 4가지 요소로 구성된다
- 토큰 페어
- 트레이더
- 가격 결정 알고리즘
- 유동성 공급자
유동성 공급자
- 두가지 토큰에 대한 유동성을 풀에 공급하는 주체
- 특정 토큰의 유동성이 없다면 거래를 할 수 없다(가격이 천정부지로 상승한다)
유동성 공급자에 대한 간단한 비유

우리가 흔히 아는 RPG게임에서 상점 시스템 상점주인으로부터 아이템을 사거나, 팔거나가 가능한 형태이다.
하지만 스카이림이라는 게임에서는 조금 다르다고 한다(이 게임을 해보진 않았다)

특이하게 상점주인이 가진 골드의 수량이 표시된다
메이플스토리에서는 우리가 아이템을 얼마나 많이 팔던 상점주인은 전부 사준다. 즉 상점 주인의 골드가 무한대였지만
스카이림은 상점주인이 가지고있는 골드가 제한되어 있기에 우리가 너무 비싼 아이템을 팔 수 없다.
이때 상점주인이 유동성 공급자의 역할을 한다고 볼 수 있다
- 상점 주인은 아이템-골드 간의 거래 기회를 준다(유동성 공급자는 A토큰-B토큰간의 거래 기회를 준다)
- 상인의 골드가 없다면 아이템을 팔 수 없다
가격결정 알고리즘
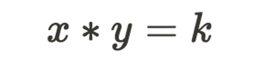
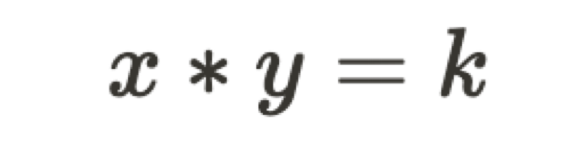
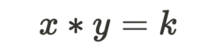
의 한 예시로 CPMM(Constant Product Market Maker)를 살펴보자
AMM 가격 결정 알고리즘의 한 종류
두 토큰 수량의 곱이 일정하게 유지되도록 가격을 경정하는 알고리즘

x와 y는 풀에 공급된 토큰의 수량이다
이더리움-오미세고 풀을 예시로 들어보자

풀에 10이더리움과 500오미세고가 들어있다(Exchange State1)
x * y = 5000이다
단순하게 생각했을때 1이더리움은 50오미세고의 가치를 가지는 것으로 보이기에 트레이더가 1이더리움을 풀에 넣는다면 50오미세고를 받게 될 것으로 예상된다
하지만 1이더리움을 넣는 순간 풀에 11개의 이더리움이 존재하므로 x * y = 5000이 유지되려면 오미세고는 454.5454...개가 되어야 한다. 따라서 트레이더는 500 - 454.5개의 오미세고를 받게된다. (약 45개)
예상한 수량보다 적게 받은 이 상황을 슬리피지라고 부른다
참고:
https://www.coindeskkorea.com/news/articleView.html?idxno=70117
https://steemit.com/coinkorea/@bbkang/vs
중앙화거래소 vs 탈중앙화거래소 — Steemit
<중앙화 거래소의 문제점> 1.거래가 거래소 서버의 데이터베이스에서 이루어짐 2.거래소가 모든 기록과 거래(입출금, 매매)를 통제 3.개인지갑의 돈=거래소의 돈 (소유와 거래의 분리??) 현재 암호
steemit.com
https://bitkr.com/defi-kr/decentralized-exchanges/
탈중앙화 거래소(DEX)란 무엇이며 어떻게 운영되나요? | BitKR
탈중앙화 거래소는 DeFi 공간에서 '차세대 대물'로 선전되고 있습니다. 여기에서 작동 방식에 대한 모든 걸 읽어보세요.
bitkr.com
https://www.hankyung.com/economy/article/202110069443i
[김태린] 탈중앙화 거래소 떡상시대, DEX가 미래인가?
[출처: 셔터스톡] [스존의 존생각] 직장인 코인 투자자들에게는 눈을 붙이기도 힘든 나날의 연속이다. 재택근무가 조금씩 해제되기 시작했다. 연말정산 철도 다가왔다. ‘현금 빼고 다 간다’는
www.joongang.co.kr
[암호화폐지갑] 개인지갑 VS 거래소지갑 (feat. 플래닛월렛)
GBT Protocol 커뮤니티 여러분 안녕하
medium.com
https://steemit.com/blockchain/@sidonyia/qnp3p
[암호화화폐] 거래소에서의 코인 거래 원리 (장기 미접속 청산주의) — Steemit
거래소에서 코인을 원화로 구입하여 거래할때의 원리를 알아보고자 합니다. 우리가 거래소에서 코인을 구매할때 실제 코인을 구매하는것이 아닌 거래소에서 만든 자체 정보로만 거래를 하고
steemit.com
https://academy.binance.com/ko/articles/what-is-an-automated-market-maker-amm
자동화된 시장 메이커(AMM)란 무엇인가요? | Binance Academy
자동화된 시장 메이커는 탈중앙 금융(DeFi) 내의 스마트 콘트랙트이며, 누구나 유동성 풀에 암호화폐를 예치하고 시장을 형성할 수 있게 합니다.
academy.binance.com
[UNISWAP SERIES] 1. 유니스왑 이해하기
유니스왑과 AMM을 쉽게 이해해보자. Reviewed by 정현, 오영택
medium.com
'Block Chain' 카테고리의 다른 글
| [Dapp 만들기] 2. Lottery.sol 작성하기 (0) | 2022.06.28 |
|---|---|
| [Dapp 만들기] 1. 앞으로 구현할 Lottery Dapp 미리보기 (1) | 2022.06.28 |
| [블록체인] 클레이튼에 대해 알아보자 (0) | 2021.12.31 |
| [블록체인] 탈중앙화 신원증명 DID (0) | 2021.12.21 |
| [블록체인] 암호화폐 채굴과 51% 공격 (2) | 2021.12.05 |